Calculus Problems

Home | Example Problems| A Teacher's View | Links | Sources

 

Derivatives
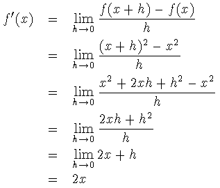
derivative

The concept of Derivative is at the core of Calculus and modern mathematics. Velocity and acceleration are measured using a fundamental concept of calculus that is called the derivative.

Links for practice!

Derivative Practice Test

Derivative Practice Test Two

The derivative is closely related to another important concept in calculus, the integral . The integral, much like the derivative, has many applications.

Links for practice!

Integral Practice Problems

Integral Practice Problems Two

Integrals
integrals

Limits
limits

Limits of functions are evaluated using many different techniques such as recognizing a pattern, simple substitution, or using algebraic simplifications.

Links for practice!

Limit Problems

Limit Practice Test

The concept of a derivative is also useful for finding a tangent line to a given curve at a specific point. A tangent line is a straight line that touches a curve at only one point when restricted to a very small region.

Links for practice!

Tangent Line Practice Test

Tangent Line Practice Problems

Tanget Lines

tangent

 

Niemiec2013© Fort Hill High School
500 Greenway Avenue Cumberland, MD 21502
Phone: 301-777-2570